| Simulink Reference | ![]() |
Implement a discrete transfer function specified in terms of poles and zeros
Library
Description
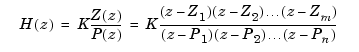
The Discrete Zero-Pole block implements a discrete system with the specified zeros, poles, and gain in terms of the delay operator z. A transfer function can be expressed in factored or zero-pole-gain form, which, for a single-input, single-output system in MATLAB, is
where Z represents the zeros vector, P the poles vector, and K the gain. The number of poles must be greater than or equal to the number of zeros
(n
m). If the poles and zeros are complex, they must be complex conjugate pairs.
The block icon displays the transfer function depending on how the parameters are specified. See Zero-Pole for more information.
Data Type Support
A Discrete Zero-Pole block accepts and outputs real signals of type double.
Parameters and Dialog Box
[1].[0 0.5].1.Characteristics
| Direct Feedthrough |
Yes, if the number of zeros and poles are equal |
| Sample Time |
Discrete |
| Scalar Expansion |
No |
| States |
Length of Poles vector |
| Dimensionalized |
No |
| Zero Crossing |
No |
| Discrete Transfer Fcn | Display | ![]() |