Signal Processing Toolbox | ![]() ![]() |
Convert digital filter second-order section parameters to zero-pole-gain form
Syntax
Description
sos2zp
converts a second-order section representation of a given digital filter to an equivalent zero-pole-gain representation.
[z,p,k]
returns the zeros =
sos2zp(sos)
z
, poles p
, and gain k
of the system given by sos
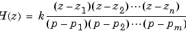
in second-order section form. The second-order section format of H(z) is given by
sos
is an L-by-6 matrix that contains the coefficients of each second-order section in its rows.
Column vectors z
and p
contain the zeros and poles of the transfer function H(z).
where the orders n and m are determined by the matrix sos
.
[z,p,k]
returns the zeros =
sos2zp(sos,g)
z
, poles p
, and gain k
of the system given by sos
in second-order section form with gain g
.
Examples
Compute the poles, zeros, and gain of a simple system in second-order section form:
sos = [1 1 1 1 0 -1; -2 3 1 1 10 1];
[z,p,k] = sos2zp(sos)
z =
-0.5000 + 0.8660i
-0.5000 - 0.8660i
1.7808
-0.2808
p =
-1.0000
1.0000
-9.8990
-0.1010
k =
-2
Algorithm
sos2zp
finds the poles and zeros of each second-order section by repeatedly calling tf2zp
.
See Also
sos2ss
, sos2tf
, ss2zp
, tf2zp
, tf2zpk
, zp2sos
![]() | sos2tf | sosfilt | ![]() |