Signal Processing Toolbox    
idct

Inverse discrete cosine transform

Syntax

Description

The inverse discrete cosine transform reconstructs a sequence from its discrete cosine transform (DCT) coefficients. The idct function is the inverse of the dct function.

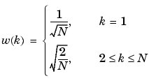
x = idct(y) returns the inverse discrete cosine transform of y

where

and N = length(x), which is the same as length(y). The series is indexed from n = 1 and k = 1 instead of the usual n = 0 and k = 0 because MATLAB vectors run from 1 to N instead of from 0 to N-1.

x = idct(y,n) appends zeros or truncates the vector y to length n before transforming.

If y is a matrix, idct transforms its columns.

See Also

dct, dct2, idct2, ifft

References

[1] Jain, A.K., Fundamentals of Digital Image Processing, Prentice-Hall, 1989.

[2] Pennebaker, W.B., and J.L. Mitchell, JPEG Still Image Data Compression Standard, Van Nostrand Reinhold, 1993, Chapter 4.


  icceps ifft