| Signal Processing Toolbox | ![]() |
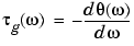
The group delay of a filter is a measure of the average delay of the filter as a function of frequency. It is defined as the negative first derivative of a filter's phase response. If the complex frequency response of a filter is
, then the group delay is
where
is the phase angle of
. Compute group delay with
which returns the n-point group delay,
, of the digital filter specified by b and a, evaluated at the frequencies in vector w.
The phase delay of a filter is the negative of phase divided by frequency:
To plot both the group and phase delays of a system on the same graph, type
[b,a] = butter(10,200/1000); gd = grpdelay(b,a,128); [h,f] = freqz(b,a,128,2000); pd = -unwrap(angle(h))*(2000/(2*pi))./f; plot(f,gd,'-',f,pd,'--') axis([0 1000 -30 30]) legend('Group Delay','Phase Delay')
| Magnitude and Phase | Zero-Pole Analysis | ![]() |