Creating and Manipulating Models | ![]() ![]() |
Zero-Pole-Gain Models
This section explains how to specify continuous-time SISO and MIMO zero-pole-gain models. The specification for discrete-time zero-pole-gain models is a simple extension of the continuous-time case. See Discrete-Time Models.
SISO Zero-Pole-Gain Models
Continuous-time SISO zero-pole-gain models are of the form
where is a real-valued scalar (the gain), and
,...,
and
,...,
are the real or complex conjugate pairs of zeros and poles of the transfer function
. This model is closely related to the transfer function representation: the zeros are simply the numerator roots, and the poles, the denominator roots.
There are two ways to specify SISO zero-pole-gain models:
zpk
command
The syntax to specify ZPK models directly using zpk
is
where z
and p
are the vectors of zeros and poles, and k
is the gain. This produces a ZPK object h
that encapsulates the z
, p
, and k
data. For example, typing
You can also specify zero-pole-gain models as rational expressions in the Laplace variable s by:
s
as a ZPK model
s
.
For example, once s
is defined with zpk
,
Note
You need only define the ZPK variable s once. All subsequent rational
expressions of s will be ZPK models, unless you convert the variable s to TF.
See Model Conversion for more information on conversion to
other model types.
|
MIMO Zero-Pole-Gain Models
Just as with TF models, you can also specify a MIMO ZPK model by concatenation of its SISO entries (see Model Interconnection Functions).
You can also use the command zpk
to specify MIMO ZPK models. The syntax to create a p-by-m MIMO zero-pole-gain model using zpk
is
Z
is the p-by-m cell array of zeros (Z{i,j}
=
zeros of P
is the p-by-m cell array of poles (P{i,j}
=
poles of K
is the p-by-m matrix of gains (K(i,j)
=
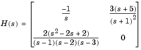
gain of creates the two-input/two-output zero-pole-gain model
Notice that you use []
as a place-holder in Z
(or P)
when the corresponding entry of has no zeros (or poles).
![]() | Transfer Function Models | State-Space Models | ![]() |