Mathematics | ![]() ![]() |
Introduction to Initial Value ODE Problems
What Is an Ordinary Differential Equation?
The ODE solvers are designed to handle ordinary differential equations. An ordinary differential equation contains one or more derivatives of a dependent variable with respect to a single independent variable
, usually referred to as time. The derivative of
with respect to
is denoted as
, the second derivative as
, and so on. Often
is a vector, having elements
.
Using Initial Conditions to Specify the Solution of Interest
Generally there are many functions that satisfy a given ODE, and additional information is necessary to specify the solution of interest. In an initial value problem, the solution of interest satisfies a specific initial condition, that is,
is equal to
at a given initial time
. An initial value problem for an ODE is then
![]() |
(14-1) |
If the function is sufficiently smooth, this problem has one and only one solution. Generally there is no analytic expression for the solution, so it is necessary to approximate
by numerical means, such as using one of the ODE solvers.
Working with Higher-Order ODEs
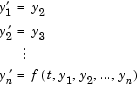
The ODE solvers accept only first-order differential equations. However, ODEs often involve a number of dependent variables, as well as derivatives of order higher than one. To use the ODE solvers, you must rewrite such equations as an equivalent system of first-order differential equations of the form
You can write any ordinary differential equation
as a system of first-order equations by making the substitutions
The result is an equivalent system of first-order ODEs.
Example: Solving an IVP ODE (van der Pol Equation, Nonstiff) rewrites the second-order van der Pol equation
as a system of first-order ODEs.
![]() | ODE Function Summary | Initial Value Problem Solvers | ![]() |